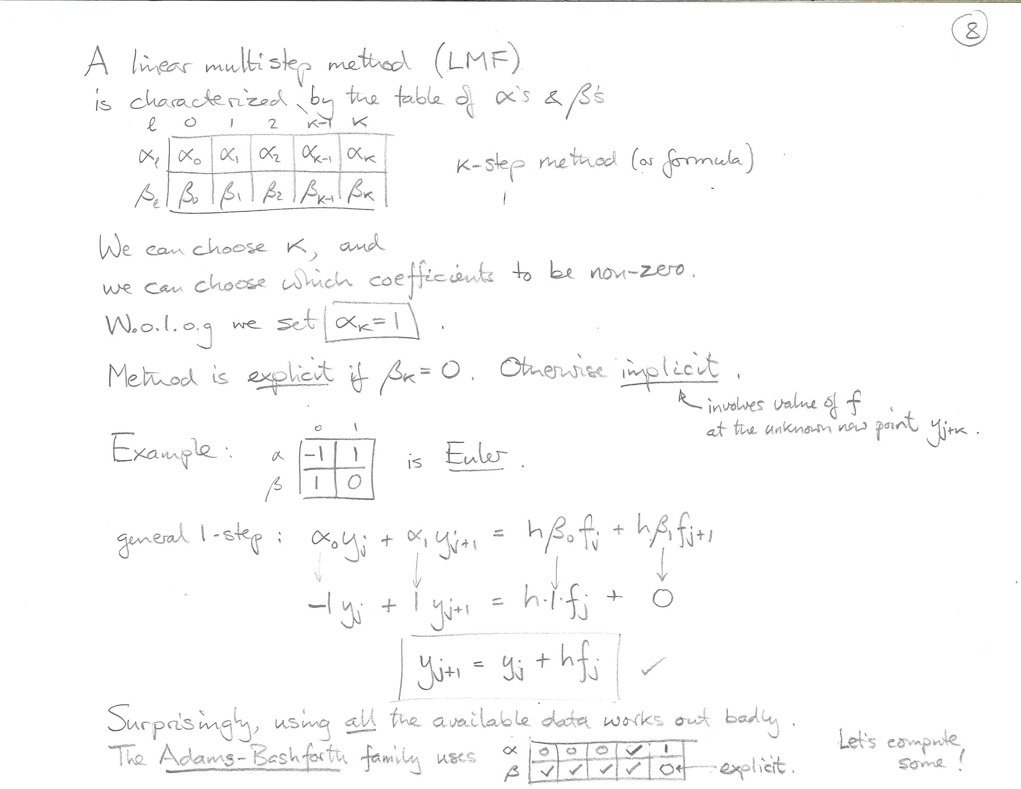
day08_s25_notes-007.jpg